Basic Info  
Pull Test  
Die attach  
Recommendations  
    
Events

UK Wedge Bonding Forum 1_2015
UK Wedge Bonding Forum 2_2015
Detector Mechanics Workshop 2012
Bond Workshop 2003
    
    
    

Testing of Wire Bonds                                                                   

The DELVOTEC automatic bonders measure the cross-sectional deformation of the bond wire during the bonding process and monitor the applied ultrasonic power and the bonding time.
This gives a certain indication of the quality of the bonds, is however not sufficient to assess yield, reliability and longevity of the bonds.

In addition to an accurate optical inspection with an appropriate microscope (magnification x200) by an experienced specialist and metallurgical analyses of the bond pads, bond pull tests provide quantitative information on the bond strength and variability.

A pull test is performed by means of a micro-hook which pulls the bond wire vertically upwards. The control of the geometrical variables are essential for a quantitative test result.


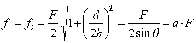
In the two bonds are on the same level (H=0) and the loop is pulled in the center (e=0), the force in the bond wire is:



For a given bond strength the result varies obviously with the ratio d/h or with the angle q.
The ratio of the force applied to the bonds f1, f2 and the hook force F is expressed by the correction factor a, tabled below:


q (°)

 factor a

10 2.88
20 1.46
30 1
40 0.79
50 0.65
60 0.58
70 0.53
80 0.51
90 0.5


One distinguishes destructive and non-destructive bond pull tests.

Destructive pull testing uses manual, semi-automatic or automatic wire pull dynamometer to measure breaking strength of wire loop. Typical bond breaking strength for 25 microns diameter wire is ~8g.

Non destructive pull test is similar but a fixed maximum pull force is applied which should be at the minimum required strength.
Non-destructive pull tests are intended to reveal weak bonds while avoiding damage to good bonds. This means that the force has to be chosen such that good bonds are not stressed beyond their elastic limit.

In both test modes, statistical analysis of the results (in terms of average value, is of interest to make predictions for large volume productions.

 

 




 

    
Home
Contact us 
  Work Request Form
 Equipment